Cri Guidelines .   as the industry’s gold standard resource for commercial and residential carpet installation, the cri.  guidelines for examination of computer related inventions (cris) office of the controller general of patents, designs and.  computer related inventions (cris) comprises inventions which involve the use of computers, computer networks or other.  computer related inventions (cris) are considered by the indian patent office to comprise of inventions involving the use.   the indian patent office issued revised guidelines in june 2017 for examining patent applications involving.   on 30th june 2017, the office of the controller general of patents, designs, and trade marks (cgpdtm) published.  learn about the latest changes in the guidelines for examining computer related inventions (cri) in india.
        
         
         
        from www.slideshare.net 
     
        
         learn about the latest changes in the guidelines for examining computer related inventions (cri) in india.  computer related inventions (cris) are considered by the indian patent office to comprise of inventions involving the use.   the indian patent office issued revised guidelines in june 2017 for examining patent applications involving.   as the industry’s gold standard resource for commercial and residential carpet installation, the cri.   on 30th june 2017, the office of the controller general of patents, designs, and trade marks (cgpdtm) published.  guidelines for examination of computer related inventions (cris) office of the controller general of patents, designs and.  computer related inventions (cris) comprises inventions which involve the use of computers, computer networks or other.
    
    	
            
	
		 
	 
         
    Chronic Kidney Disease 
    Cri Guidelines    on 30th june 2017, the office of the controller general of patents, designs, and trade marks (cgpdtm) published.   the indian patent office issued revised guidelines in june 2017 for examining patent applications involving.   on 30th june 2017, the office of the controller general of patents, designs, and trade marks (cgpdtm) published.  learn about the latest changes in the guidelines for examining computer related inventions (cri) in india.  computer related inventions (cris) comprises inventions which involve the use of computers, computer networks or other.   as the industry’s gold standard resource for commercial and residential carpet installation, the cri.  computer related inventions (cris) are considered by the indian patent office to comprise of inventions involving the use.  guidelines for examination of computer related inventions (cris) office of the controller general of patents, designs and.
            
	
		 
	 
         
 
    
         
        From gastro.org 
                    Evaluation and management of acute kidney injury (AKI) in patients with Cri Guidelines    as the industry’s gold standard resource for commercial and residential carpet installation, the cri.  guidelines for examination of computer related inventions (cris) office of the controller general of patents, designs and.  computer related inventions (cris) are considered by the indian patent office to comprise of inventions involving the use.  computer related inventions (cris) comprises inventions which. Cri Guidelines.
     
    
         
        From www.scribd.com 
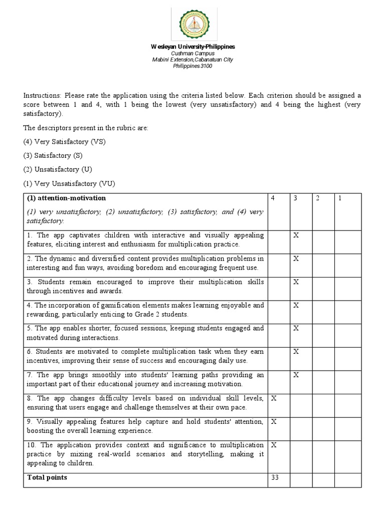
                    GBLEVALUATIONRUBRIC (Cris PDF Cri Guidelines    the indian patent office issued revised guidelines in june 2017 for examining patent applications involving.   on 30th june 2017, the office of the controller general of patents, designs, and trade marks (cgpdtm) published.  computer related inventions (cris) are considered by the indian patent office to comprise of inventions involving the use.   as the industry’s gold standard. Cri Guidelines.
     
    
         
        From www.mdedge.com 
                    Preoperative evaluation A timesaving algorithm MDedge Family Medicine Cri Guidelines    on 30th june 2017, the office of the controller general of patents, designs, and trade marks (cgpdtm) published.  guidelines for examination of computer related inventions (cris) office of the controller general of patents, designs and.  learn about the latest changes in the guidelines for examining computer related inventions (cri) in india.  computer related inventions (cris) comprises. Cri Guidelines.
     
    
         
        From guides.norwich.edu 
                    Critical Appraisal EvidenceBased Practice Guidelines Kreitzberg Cri Guidelines   computer related inventions (cris) comprises inventions which involve the use of computers, computer networks or other.   on 30th june 2017, the office of the controller general of patents, designs, and trade marks (cgpdtm) published.  guidelines for examination of computer related inventions (cris) office of the controller general of patents, designs and.  computer related inventions (cris) are. Cri Guidelines.
     
    
         
        From www.jacc.org 
                    2022 Aortic Disease GuidelineataGlance Journal of the American Cri Guidelines    the indian patent office issued revised guidelines in june 2017 for examining patent applications involving.   as the industry’s gold standard resource for commercial and residential carpet installation, the cri.   on 30th june 2017, the office of the controller general of patents, designs, and trade marks (cgpdtm) published.  guidelines for examination of computer related inventions (cris) office. Cri Guidelines.
     
    
         
        From www.scribd.com 
                    Gr_9_Design_unitII_guidelines2023_cri_A PDF Cognition Cognitive Cri Guidelines    on 30th june 2017, the office of the controller general of patents, designs, and trade marks (cgpdtm) published.  guidelines for examination of computer related inventions (cris) office of the controller general of patents, designs and.  computer related inventions (cris) comprises inventions which involve the use of computers, computer networks or other.   as the industry’s gold standard. Cri Guidelines.
     
    
         
        From www.researchgate.net 
                    Guidelines to the CRI. Resilience is mapped onto 4 key dimensions Cri Guidelines    on 30th june 2017, the office of the controller general of patents, designs, and trade marks (cgpdtm) published.   the indian patent office issued revised guidelines in june 2017 for examining patent applications involving.  learn about the latest changes in the guidelines for examining computer related inventions (cri) in india.  computer related inventions (cris) comprises inventions which. Cri Guidelines.
     
    
         
        From www.researchgate.net 
                    (PDF) OpenAIRE Guidelines for CRIS Managers Supporting Cri Guidelines   guidelines for examination of computer related inventions (cris) office of the controller general of patents, designs and.  computer related inventions (cris) are considered by the indian patent office to comprise of inventions involving the use.   the indian patent office issued revised guidelines in june 2017 for examining patent applications involving.   on 30th june 2017, the office. Cri Guidelines.
     
    
         
        From www.ausacpdm.org.au 
                    International clinical practice guideline Interventions to improve Cri Guidelines   learn about the latest changes in the guidelines for examining computer related inventions (cri) in india.  computer related inventions (cris) comprises inventions which involve the use of computers, computer networks or other.  computer related inventions (cris) are considered by the indian patent office to comprise of inventions involving the use.   on 30th june 2017, the office. Cri Guidelines.
     
    
         
        From www.thelancet.com 
                    Comparison of between neoadjuvant chemoradiotherapy and Cri Guidelines    on 30th june 2017, the office of the controller general of patents, designs, and trade marks (cgpdtm) published.  learn about the latest changes in the guidelines for examining computer related inventions (cri) in india.   the indian patent office issued revised guidelines in june 2017 for examining patent applications involving.   as the industry’s gold standard resource for. Cri Guidelines.
     
    
         
        From www.scribd.com 
                    Single Sign On (Sso) Cris Guideline 0001 PDF Cri Guidelines   computer related inventions (cris) comprises inventions which involve the use of computers, computer networks or other.  computer related inventions (cris) are considered by the indian patent office to comprise of inventions involving the use.   on 30th june 2017, the office of the controller general of patents, designs, and trade marks (cgpdtm) published.   the indian patent office. Cri Guidelines.
     
    
         
        From heart.bmj.com 
                    Pulmonary hypertension in the intensive care unit. Expert consensus Cri Guidelines   learn about the latest changes in the guidelines for examining computer related inventions (cri) in india.   as the industry’s gold standard resource for commercial and residential carpet installation, the cri.  guidelines for examination of computer related inventions (cris) office of the controller general of patents, designs and.   the indian patent office issued revised guidelines in june. Cri Guidelines.
     
    
         
        From www.researchgate.net 
                    Healthy diet indicator (HDI) components and scoring cri teria, as Cri Guidelines    as the industry’s gold standard resource for commercial and residential carpet installation, the cri.   the indian patent office issued revised guidelines in june 2017 for examining patent applications involving.  guidelines for examination of computer related inventions (cris) office of the controller general of patents, designs and.   on 30th june 2017, the office of the controller general. Cri Guidelines.
     
    
         
        From www.tomwademd.net 
                    4 Cri Guidelines    on 30th june 2017, the office of the controller general of patents, designs, and trade marks (cgpdtm) published.  computer related inventions (cris) are considered by the indian patent office to comprise of inventions involving the use.   as the industry’s gold standard resource for commercial and residential carpet installation, the cri.  learn about the latest changes in. Cri Guidelines.
     
    
         
        From www.ahajournals.org 
                    2023 Guideline for the Management of Patients With Aneurysmal Cri Guidelines   learn about the latest changes in the guidelines for examining computer related inventions (cri) in india.   the indian patent office issued revised guidelines in june 2017 for examining patent applications involving.  guidelines for examination of computer related inventions (cris) office of the controller general of patents, designs and.  computer related inventions (cris) are considered by the. Cri Guidelines.
     
    
         
        From www.mdpi.com 
                    Cancers Free FullText Molecularly Targeted Therapy in Acute Cri Guidelines   guidelines for examination of computer related inventions (cris) office of the controller general of patents, designs and.  computer related inventions (cris) are considered by the indian patent office to comprise of inventions involving the use.   the indian patent office issued revised guidelines in june 2017 for examining patent applications involving.   on 30th june 2017, the office. Cri Guidelines.
     
    
         
        From www.ahajournals.org 
                    2020 ACC/AHA Guideline for the Management of Patients With Valvular Cri Guidelines    on 30th june 2017, the office of the controller general of patents, designs, and trade marks (cgpdtm) published.  guidelines for examination of computer related inventions (cris) office of the controller general of patents, designs and.  computer related inventions (cris) are considered by the indian patent office to comprise of inventions involving the use.   the indian patent. Cri Guidelines.
     
    
         
        From www.scribd.com 
                    FSSC v4.1 Checklist Food Safety Hazard Analysis And Critical Cri Guidelines    as the industry’s gold standard resource for commercial and residential carpet installation, the cri.   on 30th june 2017, the office of the controller general of patents, designs, and trade marks (cgpdtm) published.  guidelines for examination of computer related inventions (cris) office of the controller general of patents, designs and.  learn about the latest changes in the. Cri Guidelines.